信度
古典測驗理論 CTT
一、定義
古典測驗理論=真分數理論,以真分數與實得分數觀聯性為基礎
二、實得分數、真分數、誤差分數
- 實得分數(obtained score)X:測驗測出來的分數
- 真分數(true score)T:測無限次的平均數,也就是某人的真實力(真理)
- 誤差分數(error)e:實得分數和真分數的差質
X=T+e
三、古典測驗理論的假定
- 個別受試者的實得分數平均等於真實分數 x̅=T
- 誤差分數是隨機發生的
- 誤差總和為零 Σe=0
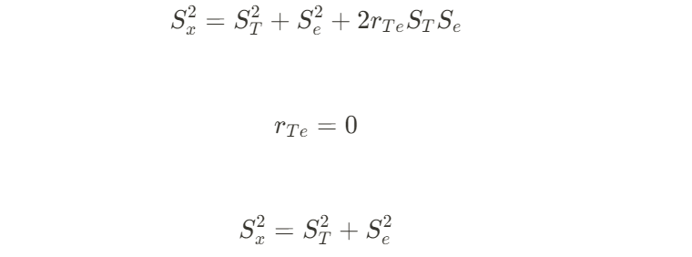
- 真分數與誤差分數的相關為零
- 若同一群人前後施測兩次
- 先後兩次施測之誤差分數相關為零
- 所有學生第一次施測的真分數與第二次施測的誤差分數相關為零
貳、信度的意義、估計方法及種類
一、信度的意義
(一)意義
測量可信賴的程度,其強度由測量結果的一致性或穩定性反映。
從古典測驗理論來看,信度是一份測驗排除誤差的能力,當測驗分數受誤差支配程度越小,信度越高
(二)信度的原理
→實得分數的變異數中,由真分數的變異數所佔的比例:

實務計算方式
由於真分數無法求得,因此用複本對同一批人前後施測兩次,並求相關→
![]()
因此,信度在理論上是
- 一群人在測驗中實得分數和真分數的相關係數平方
![]()
- 實得分數的變異數中,由真分數的變異數所佔的比例
![]()
在實務上,信度是…
- 一分測驗先後兩次實得分數的相關係數
![]()
信度=信度係數
信度開根號=信度係數
(三)信度的特性
- 心理教育領域的信度比自然科學低
- 信度不是一種普遍特質
- 信度需蒐集實徵資料計算得知
- 信度不是全有全無
(四)測量的誤差
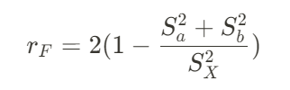
- 非系統性誤差:隨機誤差 Se^2/Sx^2
- 系統性誤差:不影響信度,但影響效度
二、常模參照測驗的信度估計方法
(一)再測信度(重測信度 test-retest reliability)
- 意義:用同分測驗對一群有代表性的受試者先後兩次施測
- 誤差來源:若兩次分數相關不是1,就有誤差存在→時間抽樣誤差
- 實務現象
- 練習效果:第二次高於第一次
- 間隔越久,再測信度越低
- 若特質在短時間內起伏較大,不適合用再測信度(如認知&情意)
- 性向測驗需預測受試者未來表現,宜具備好的再測信度
(二)複本信度 alternate form reliability
- 意義:根據同一份設計明細表設計的題目,請同一群受試者做兩份測驗,求相關
- 兩種複本信度
- 同時複本信度
- 連續施測兩個複本
- =等值係數,r反映出兩不同複本相同的程度
- 延宕複本信度
- 間隔一段時間先後施測兩個複本
- =穩定與等值係數,在兩個時間的穩定程度
- 同時複本信度
- 誤差來源
- 同時複本信度:內容抽樣誤差
- 延宕複本信度:內容抽樣誤差+時間抽樣誤差
- 實務現象
- 無法排除練習效果
- 耗費成本
- 延宕複本信度通常低於同時複本信度
- 延宕複本信度可檢查內容抽樣誤差和時間抽樣誤差的影響
(三)內部一致性信度 internal consistency reliability
只需施測一次
- 折半方法 split-half method
- 將測驗分兩半
- 誤差來自內容抽樣
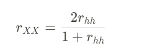
- 需校正公式以還原權份測驗信度:斯皮爾曼-布朗公式,但兩半變異數需相等

4. 其他
Flanagan福樂藍根公式
Rulon 盧龍公式
- Cronbach’α係數
- 誤差來源:內容抽樣、內容異質性
- 適用於二元計分
- 0~1之間
- 福樂藍根&盧龍折半信度平均數=Cronbach’α係數

- 庫李信度Kuder-Richardson reliability
- 誤差來源:內容抽樣、內容異質性
- 適用二元計分
- 庫李20號公式:

- 庫李21號公式:



